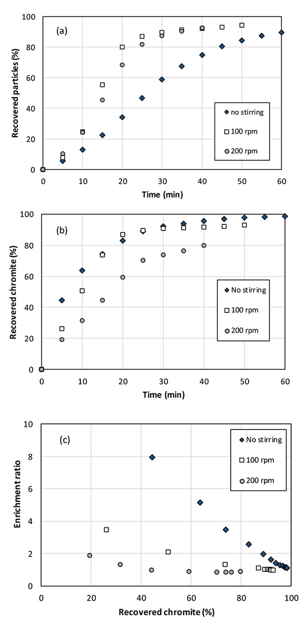
Fig. (6) Separation by flotation of the (GL30 Olivine - M4 chromite) system at 3.3% chromite added with 150 mg/L CTMAB at pH 11 depending on the stirring conditions; (a) fraction of recovered particles in the froth vs. time; b) fraction of recovered chromite particles vs. time; c) Enrichment ratio in the floated solid versus the fraction of recovered chromite.