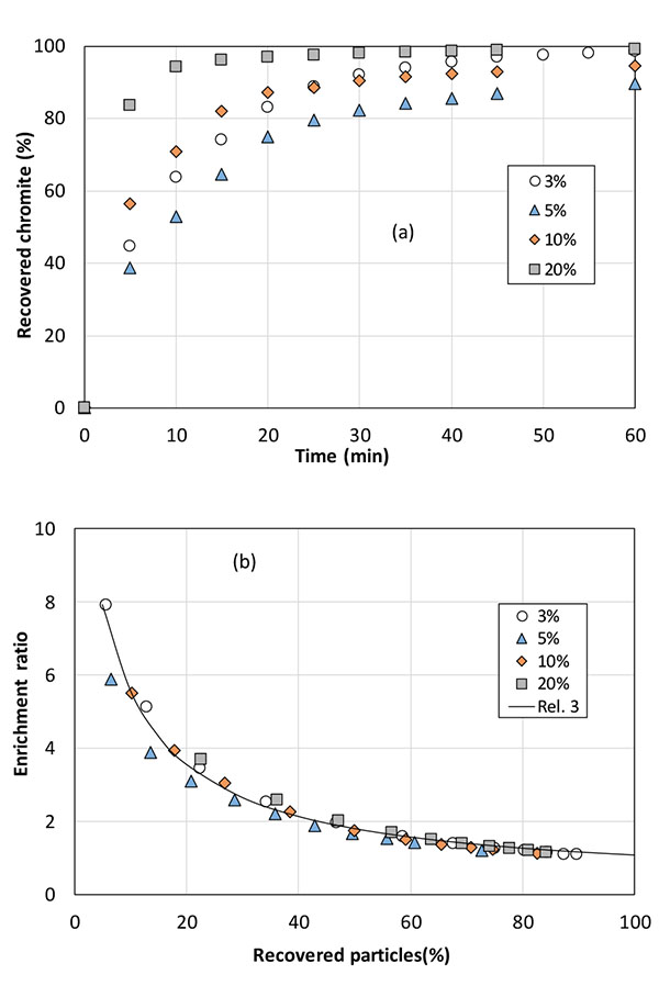
Fig. (9) Separation by flotation of the (GL30 Olivine - M4 chromite) system at various amounts of chromite added (3.3-20%) with 150 mg/L CTMAB at pH 11; (a) fraction of recovered chromite particles vs. time; (b) Enrichment ratio in the floated solid versus the fraction of recovered solid.